Um dos exercícios mais conhecidos no treinamento resistido com pesos, o AGACHAMENTO RETO, causa um grande número de questionamentos e controvérsias com relação a quais músculos são estimulados.
Utiliza-se o exercício de agachamento reto para desenvolver a musculatura do quadríceps, isquiotibiais, glúteos máximo e coluna lombar, sendo utilizado também na reabilitação de lesões.
Os movimentos e o posicionamento utilizado no agachamento são fundamentais para muitas atividades e situações do dia-a-dia como, por exemplo, sentar e levantar de uma cadeira ou pegar um objeto no chão.
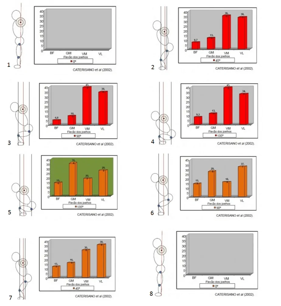
Apresento uma análise da ativação muscular nos diferentes ângulos de trabalho desse exercício.
Legenda:
- BF – bíceps femoral (isquiotibiais);
- GM – glúteo máximo;
- VM – vasto medial;
- VL – vasto lateral.

Utilizo o agachamento reto como exercício básico para qualquer aluno, desde o iniciante ao avançado, mudando apenas os ângulos e a sobrecarga de acordo com a individualidade de cada ser humano. Na área da musculação terapêutica em conjunto com a quiropraxia, esse é um dos exercícios básicos para fortalecimento da musculatura das pernas, abdômen e coluna, o que é a base do nosso corpo e que nos mantém em pé.
“Não pense que você não precisa de pernas fortes, um dia seu tronco pode precisar de estabilidade e não terá uma base sólida”. Imagine um lutador de boxe trabalhando somente membros superiores, pois na hora da luta só pode usar as mãos, você acha que ele teria a mesma estabilidade se não trabalhasse os membros inferiores?
“Um grande abraço e ótimos Treinos!!!”












